How much of your genetic material do you inherit from a particular ancestor? You inherit your mitochondria through your matrilineal lineage (your mum, your mum’s mum, your mum’s mum’s mum and so one) and your Y chromosome from your patrilineal lineage, but how is the rest of your genome spread across your ancestors in any given generation?
A generation ago you have two ancestors, your parents, two generations ago you have four grandparents (ignoring the possibility of inbreeding).
Each generation we go back your number of ancestors doubles, such that your number of ancestors k generations back grows at 2^k (again ignoring the possibility of inbreeding, which is a fair assumption for small k and if your ancestry derived from a large population).
However, you only have two copies of your autosomal genome, one from your mum one from your dad. Each generation we go back halves the amount of autosomal genome you receive, on average, from a particular ancestor. For example, on average 50% of your autosomal genome passed on from your mother comes from your maternal grandmother, 50% comes from your maternal grandfather. This material is inherited in large chunks, as chromosome fragments are inherited in large blocks between recombination events.
As you inherit autosomal material in large chunks there is some some spread around the amount of genetic material you receive; e.g. you might have inherited 45% of your autosomal material from your maternal grandmother, and 55% from your maternal grandfather. In my last post on this topic I looked at distribution of how much of your autosomes from grandparents, and I talked about why it was vanishingly unlikely that you received 0% of your genome from a grandparent.
We can take this back further, and look at the spread of how much of your autosomes you receive from ancestors further back, and how far we have to go back until it is quite likely that a particular ancestor contributed no genetic material on your autosomes to you. To do this I again made use of transmission data I had to hand to calculate these quantities using real data. Using data I had for one generation of transmissions, I compounded these together over multiple generations. After doing this I calculated a number of different quantities that I’ll describe below.
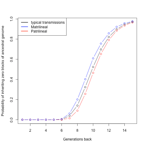
First lets look at the distribution of the number of autosomal genomic blocks you receive from a specific ancestor k generations ago
The black line is for a typical ancestor, where we do not worry about how many males and females there are along the particular route back through the family tree. While if we follow your Matrilineal line back we see there are more blocks as females have a higher recombination rate and so are breaking there genomes up into more blocks, following the patrilineal line we find less blocks as males have lower rates of recombination.
As a rough rule of thumb the autosomes you received from (say) your mother, k generations back is broken into (22+33*(k-1)) chucks, as your genome comes in 22 chromosomes and there are on average 33 recombination events per transmitted genome. These chunks are spread across your 2^(k-1) maternal ancestors. So, for example, nine generations ago the autosomes you receive from (say) your mum are broke, on average, into 286 large chunks, and these are spread across your 256 ancestors. Thus on average each of ancestors has contributed only a single block to you, and by chance it is possibly that they contribute zero. This gets worse the further we go back in time, your genome is broken up into more and more chunks, but this does not grow as fast as your number of ancestors. This makes it increasingly likely that you inherit no autosomal material from a particular ancestor.
We can also calculate the probability that you inherit zero (large) blocks of your genome from a specific ancestor:
We can also do this for individual chromosomes:

The lower number chromosomes are bigger, recombine more, and so are broken into more chunks, making it more likely that a specific ancestor contributes one of those chunks.
Finally we can look at the distribution of the amount of autosomal material you inherit from an ancestor k generations ago:



Many thanks for this interesting post. I think you got the terms paternal/patrilineal and maternal/matrilineal a little bit muddled up. Patrilineal means the direct paternal line (ie the surname line). Paternal means any relations on the father’s side of the family. Matrilineal is the direct maternal line (the path of transmission of mitochondrial DNA). Maternal means any relation on the mother’s side of the family.
Thanks Debbie. However, reading over this, I’m not quite sure where the muddle is. Is it the use of maternal lineage?
Graham, You’re using the terms maternal/matrilneal and paternal/patrilineal interchangeably but they don’t mean the same thing. In your charts for example you’re talking about matrilineal and patrilineal transmission but you are discussing autosomal DNA. Surely you mean autosomal DNA that is transmitted from all one’s father’s ancestors and all one’s mother’s ancestors rather than autosomal DNA which is transmitted on the two uniparental lines? I would imagine it would be impossible to measure how much autosomal DNA is inherited on the uniparental lines going back so many generations. You also talk about the patrilineal and matrilineal lines in paragraph 7 but I think again you really mean the paternal and maternal lines not the uniparental lines.
Debbie, I think the charts show simulated data over several generations, using different recombination rates for males and females Thus the blue patrilineal curve does refer to male-male-male-male transmissions, and similarly the red matrilineal curve is for female-female-female transmissions. The black curve is for a random mix of male and female transmissions, which we are forced to use when the actual line of descent zig-zags back and forth in an unknown fashion.
Hi Debbie,
Ann is correct, the matrilineal line shows results tracing back through only female ancestors (using only recombination events from female transmissions). Similarly the patrilineal line is going back through only male ancestors. So I think the post is correct as written, but I’ll try and make tit clearer.
Graham
Thanks Graham for the clarification. It’s the use of the terms “maternal side”, “maternal lineage” and “maternal ancestors” that have confused us because those terms refer to all the ancestors on the mother’s side. Perhaps you should change the word maternal to matrilineal and perhaps define matrilineal at the first occurrence to avoid any misunderstanding.
Hi Debbie,
I used maternal lineage to refer to the matrilineal line (mum’s mum’s mum). That seems a reasonably standard usage (at least in population genetics). When I google “maternal lineage” I find a lot of tests of mtDNA ancestry called that. But I’ll avoid using it in the future, if it means something different to you/others.
I used maternal ancestors to mean the family tree on your mother’s side. For example, I say “These chunks are spread across your 2^(k-1) maternal ancestors” there I do mean ancestors k generations that you trace back to through your mother. Assuming no inbreeding that is 2^(k-1) individuals.
Hope that helps,
Graham
Thanks Graham. The term matrilineal line is well understood by genealogists but the phrase “maternal line” seems to be used in different ways by different people. For example, this genealogy website defines the maternal line as “line of descent traced through the mother’s ancestry”: http://www.genealogy.com/genealogy/Glossary/NEWGLO_M.html The DNA testing companies often confuse matters by not defining terms properly. I find that I’m always having to spell out to people that a mitochondrial DNA test only covers the one specific line and not all the ancestors on the mother’s side. It’s your last sentence that confused me where you talk about autosomal material inherited from an ancestor on the “maternal side”. I took that to mean DNA inherited from any ancestor on the mother’s side of the family whereas I see now that you meant the matrilineal line.
I’ve now updated the post to make this clearer.
Thanks.
Graham
Thanks Graham. It’s now very clear what you mean.
I am asking a totally different question since I am not really a genetics whiz, so…if I trace my ancestry back to say my 35th great grandfather, but I get there starting from my maternal grandfather and then his father’s wife and back and forth between husbands and wives….can I prove my 35th great grandfather is related to me through DNA testing?
I am so confused….
Thanks
Wendy
Okay, let me get this straight. If we inherit nothing from more than 12 generations ago, are zombies real?
So in any given generation in the past, there are a set of people in your genealogy who we can trace the various sections of your genome back to (lets call them your genetic ancestors). The probability we inherit any autosomal DNA from a specific ancestor from more than 12 generations ago is small (~82%), because you have vast numbers of ancestors that far back (e.g. 12 generations ago you have 4096 ancestors) and your genetic ancestors are a very small subset of these people (on average around 700 people).
Is this to say that our lights are on, but no one is at home? Is this mathematical proof for out-of-body experiences? This explains everything I observe at faculty meetings.
Pingback: Noli Irritare Leones » Some links related to genetic genealogy
Pingback: Understanding Autosomal DNA With Just a Few Basic Tenets
Pingback: How many genetic ancestors do I have? | gcbias
Your discussion does not reflect the real existence in inter-marriage of ancestors. In the not too distant past people let say six generations, people did not travel more than 25 miles from their homes or villages. The gene pools were smaller then than now with modern means of travel. This will make the mathematics a “bit” more non linear.
Agreed. I mentioned throughout the post that the calculations ignored inbreeding (i.e. inter-marriage of ancestors). I’ll likely tackle this in a subsequent post, as my first aim was to help people to have an intuition for the basic calculations.
It would be very helpful if you could do some simulations on the number of genealogical ancestors that the average European would be expected to share within the last five to ten generations as a result of what genealogists call pedigree collapse:
http://www.isogg.org/wiki/Pedigree_collapse
This is the timeframe covered by the cousin-finding autosomal DNA tests.offered by the commercial companies. The models used in scientific papers tend to have focused on the bigger picture looking at the population level rather than the implications for the individual. It is very difficult trying to trace most genealogical lines back beyond five or six generations but that is probably just the time where pedigree collapse starts to kick in.
Pingback: How many genomic blocks do you share with a cousin? | gcbias
Pingback: Frederick Sanger, Father of DNA Sequencing, Dead at 95 | MGRC
Pingback: Why the west won. | Look, think, make
Very informative post! A few of questions that I am intrigued by ( as a layperson ) are as follows:
1. Given a shared IBD segment of length L between 2 individuals: can one ascribe a time or generation range to the corresponding TMRCA based on that?
2. This question is based on the 2013 paper ( fig 4 ) , can the average number of common ancestors per generation be derived based on a single IBD segment of length L or is it based on a distribution of all IBD segments that are shared between 2 individuals, with each segment ascribed to a MRCA?
Thanks for your work on this post. I just had one question. So If I had an ancestor living some time in 800 A.D., I am basically not related to him??
Sorry for the slow response. Yes, you are very likely not genetically related to him. But you are genealogically related to him. However, you are also genealogically related to most of the individuals alive (who left descendents) back then.
To add to Samuel’s question, how is it that our DNA can be traced back many thousands of years to Africa?
Sorry for the long delay. The key is that while the probability that you share DNA with a particular ancestor decreases as we go back over the generations, your total number of genetic ancestors is increasing. By the time we get back to 10s of thousands of years ago you are descended from everyone (who left any descendents to the present day ~80% of the population). As >50kyrs ago the vast majority of everyones’ ancestors were in Africa, the majority of your genome traces back to African ancestors.
I am fascinated by this as I know that many of my wife’s relations are consanguineous. Several branches have great grandchildren marrying each other – albeit from the descendants of siblings. There is also a scattering of French and Scandinavian ancestry way back which I assume would impact the autosomal whilst not showing in the mtDNA analysis. ? I welcome any comments from the scribe and fellow bloggers.
n generations ago you have m=2^n ancestors within that particular generation, and as n increases the probability of inheriting from a particular ancestor tends to zero.
I’ve only seen calculations of NOT inheriting from a single person within a generation.
My question is, what is the probability of NOT inheriting from say two, three, four, or all m of the ancestors within a given generation?
Thanks for the question. So in any given generation back you have to inherit genetic material from some of your ancestors (otherwise you’d not have any genome). The calculations you ask about are much more complex (see Donnelly 1983 http://www.ncbi.nlm.nih.gov/pubmed/6857549 ). I have some simulations showing the distribution of the number of genetic ancestors (I’ll post them sometime), but the approximations described here work reasonable well more than a few generations back.
If I understand this, since all of our autosomal dna came from particular distant ancestors, the problem is hat we just cannot assign a % to a particular individual due to the mixing over generations. You would have to compare the dna from a distant ancestor (dig up a grave) to your current dna and check for matches. Obviously, all of our dna came from our ancestors that we ultimately all share at some point.
Those of us who do IBD cluster analysis (Identify a group of people who share the same segment of the same strand of the same chromosome and then compare pedigrees or as nearly complete a set of pedigrees as we can devise) find that most CAs for most IBD clusters of any size were a set of ancestors born in the 1600s if not earlier. This would point to conflict between your theoretical probabilities and actual atDNA inheritance patterns.
I know is not very “scientific” but my mom had a auburn-red headed very white Portuguese mother and a father who had a indigenous mother and a black father. But my mom and some of her brothers look neither Portuguese nor black and resemble the color of skin, hair and facial features of indigenous people of the region. Some of her sisters (she had 9 siblings), like 2 or 3, looked mostly white with round faces and portuguese looking features from their mother. Nobody looked afro-american or mulato (mix of black and white) as my grandpa though. Is this possible according to this explanation? That the gene of afro american from one grandparent was not well represented in the 9 kids and Portuguese and Indigenous were? I always wandered why no child from my grandpa looked like his afro american side of the family, even though he himself looked more afro american though and less indigenous in appearance.
In the last figure, you state: “note that these distributions are centered on 1/(2^k)”
Looking at the graphs for 2 generations back and 4 generations back, the distributions seem to be centered on 0.5 and 0.125, respectfully. That would correspond to the distributions being centered on 1/(2^(k-1)) if I assume that “k” is the number of generations back.
Am I mistaken in how I am interpreting these graphs?
Pingback: DNA tests can’t prove racial ancestry – A Man With A Ph.D.
In the example you give, we may inherit nothing from nine generations ago. But if you inherit something from the eighth generation, they are made up of the ninth generation, so you do inherit something from the ninth generation. Is my thinking logical or have I gone down a worm hole?
Just clarify for Mike Anderson and other commenters, the graphs above are not for the probability of your inheritance from ALL of your ninth generation ancestors (etc.), but EACH. Even though it becomes unlikely that you inherited DNA from some particular one of your 512 ancestors from 9 generations ago, you have, with probability 100%, inherited DNA from some of them! According to the calculations above, you would have about 572 chunks of DNA from the 9th generation. Even though there are more chunks than ancestors, you’ve gotten multiple chunks from some of your 9th degree ancestors (it’s all just luck of the draw), but that just means that others of them probably gave you nothing. As depicted in the graphs above, cooplab data show that, on average, there’s about a 30% chance, for each of your 9th generation ancestors, that they gave you nothing. But that means there’s about a 70% chance, for each ancestor, that they gave you something! While the probability that a particular ancestor gave you DNA goes to almost nothing when you go back far enough, it’s always still at probability 100% that a large number of people (though not a large %) have given you DNA from that generation.
Great post.
Very interesting paper and fruitfull clarifying discussion. Now, may I hope to get one practical claryfication: my family is at least for 270 years (8 generations) living at the Croatian Adriatic cost (documents are proving this and the family tree exists).
However, the surname shows that the roots are not there, but no one is able to say where the family came from. Some older people pretend they have heard from the elderlies that the origins are in today’s Czech Republic, the others believe that it was even further in the north, in Poland, but there is no one document confirming this..
In both countries there are still families with the same surname. Genealogic research shows that their ancestors have been there from the very beginning of 18th, some even in the 17th century. Having in mind the size of forced migrations in Europe in these period (wars, ecomic reasons, administrative decisions etc) no one can exclude the possibility that the parts of these families have been obliged to move towards the south, some of them staying in actual Czech Republic, and that the others continued till the Adriatic Sea.
The question is: can the genetic analysis (the paternal line) show the potential „family“ links between the people with same surname still living in these 3 countries? The separation (if any) took place most probably in the mid of 17th century – it means before about 8 to 9 generations…
Best regards,
Vladimir
“As you inherit autosomal material in large chunks there is some some spread around the amount of genetic material you receive; e.g. you might have inherited 45% of your autosomal material from your maternal grandmother, and 55% from your maternal grandfather.”
If that were the case, then Would be of virgin birth! I had no idea 🙂
Hello Vladimir,
yes, you can test a potential relationship with those who have the same surname as you have. If both you and the other person takes a Y-chromosome test (e.g. with FTDNA.com), you can find out if you had a common grand-grand-grandfather at some time. With some precision you can even define the time when your last common ancestors lived, although you will only get a prediction. The scientific basis for this is the fact that Y-chromosoes are inherited from father to son, just likes surnames do in most cases. In fact, there are Y-DNA surname projects, just do a google brach for this, maybe you will find your surname to show up.
A similar analysis can be done for mitochondrial DNA, which may allow you to find the last common grand-grand mother, or the migration route of your maternal line. however, names will not support the findings, because women surname change in every generation.
Since todays Czech Republic, and todays Croatia and even some parts of Poland belongs to the Habsburg Empire, such movements are not unlikely.
All the best,
Thanks a lot. I will try.
An interesting article; so how much would I receive from this particular individual, to use an example:
Thomas Pettitt
1736– August 1801
5th great-grandfather
Picked Tom as the example to use because my village is subject to multiple incest jokes in the local area, largely because of Thomas’ sexual exploits- here’s a little link which explains why: http://www.mandywillard.co.uk/surnames/pettitt/thomas_1736.htm
Thomas was my 5th great-grandfather via his son William, with a WALLIS, Jemima; the woman who wrote the post is descended from his younger sister.
Was wondering how much genetic material you would estimate may have via Thomas, and also how much on average us here in Lamberhurst who have this most venerable individual as a direct ancestor would have from him?
He’s mother’s side and I know you talked about re combinations on the women’s side as compared to men; it’s all women from my great grandmother Dorothy May Read (Harwood when married) to mother.
I want to know how related to Thomas the Pimp I am if you would care to say PLEEEEEEEEASE.
My little village is the butt of jokes because of him :’P.
An interesting article; so how much would I receive from this particular individual, to use an example:
Thomas Pettitt
1736– August 1801
5th great-grandfather
Picked Tom as the example to use because my village is subject to multiple incest jokes in the local area, largely because of Thomas’ sexual exploits- here’s a little link which explains why: http://www.mandywillard.co.uk/surnames/pettitt/thomas_1736.htm
Thomas was my 5th great-grandfather via his son William, with a WALLIS, Jemima; the woman who wrote the post is descended from his younger sister.
Was wondering how much genetic material you would estimate may have via Thomas, and also how much on average us here in Lamberhurst who have this most venerable individual as a direct ancestor would have from him?
He’s mother’s side and I know you talked about re combinations on the women’s side as compared to men; it’s all women from my great grandmother Dorothy May Read (Harwo
od when married) to mother.
I want to know how related to Thomas the Pimp I am if you would care to say PLEEEEEEEEASE.
My little village is the butt of jokes because of him :’P.
Very great post! This question I´ve had in mind for almost 30 years!! There arises to me one more important question.
Is the DNA preferable fractioned at special locations?
If yes, there would be (even) less segments generations ago than calculated. But if one would use a grandparent to parent to child sequence instead of an only parent to child sequence one should be able to regard that possible effect and make a projection backwards as you did.
Why do I think there might be preferred locations for fragmentation? Recent humans show notable matches with different fossile humans, f. i. the Mal´ta man from 45.000 years ago. I don´t know exactly, but as I´ve understood in the dimension of 5 cM and more in one block. Surely this is a statistical result of random recombination and not the fact such a block has not been splitted for the last 45.000 years. BUT to give such a statistical random recombination a realistic chance to occure, the segments can not be allowed to be indefinite small or as small as a single basepair, as it probably would have been after 45.000 years. I´ve not done a serious calculation on that and I don´t know if I´m able to do that, but my mathematical “feeling” says this can not recombine by random in such a degree that there are testees showing such a match in one block today. That´s kind of cracking a 128 bit or more key by random by just some 100 tousands testees.
Best,
Joachim
But isn’t it possible that a sizable chunk of DNA could be passed on down through multiple generations unchanged? I mean your DNA has to come from somewhere, I guess it could be all recombined.
Pingback: My DNA: Eskimos, Gypsies, India and the Middle East - History-To-Share Ceramic Outdoor Memorial Plaques
Pingback: Notas sobre el análisis biogeográfico de nuestros antepasados americanos mediante el análisis de DNA | Encantamiento Genealógico
Pingback: Black ancestry in white Americans of colonial background – Gene Expression
I have a different question.
At what point in future generations is the likelihood of any of my genes being passed on less than say 5% or 1%. Based on having 1 child, or 2 children, or 3 children, etc. It seems that what drives members of any species is to move their genes forward through time (in whatever form it takes).
How many generations following my own can it be expected that my particular genes matter? Is the answer the same? That at about 12 generations into the future (approx 25 x 12 or 300 years) any genes that I have passed on are as likely to be ‘extinct’ as they are to exist in at most a small amounts in any descendants?
The calculation would depend strongly on the number of children. If every generation had exactly 2 children, then the calculations would likely look roughly the same (though note that these charts were for the likelihood of DNA from any one particular ancestor, not any ancestor) So if you and your descendants have few children, it’s entirely possible for your line to literally become extinct. However, if you have large families, it is also possible to have orders of magnitudes greater number of descendants than ancestors. For example 10 generations back you have 1024 ancestors (ignoring pedigree collapse). If every generation had 3 children, then that would end up with nearly 60,000 10th generation descendants though. Up that to 4 children per family and you’d have over 1 million 10th generation descendants. Even if only a miniscule proportion of those had segments of your DNA, it could still be a very large number of people, and collectively they may still contain a good portion of your complete DNA.
does one man’s 3rd generation has the full probability to get the man’s characters by Y,X and autosomes?
Pingback: gcbias
I have re-visited this terrific post a number of times over the past few years. Have only just noticed an error in the plot that shows Probability of inheriting zero blocks of ancestral genome v Generations back. The Matrilineal and Patrilineal labels are on the wrong lines. As the article correctly points out females have a higher recombination rate and so are breaking genomes up into more blocks. This means that there would be a smaller probability of inheriting zero blocks on the matrilineal line than on the patrilineal line.
Pingback: Would testing Elizabeth Warren’s DNA resolve the fight over her heritage? - News Information
Pingback: Anzahl genetische Vorfahren pro Vorfahrengeneration – geteilte DNA der Ahnenreihen – PopGen.at
Pingback: Kan en DNA-match bevisa ett släktskap på 1400-talet? - Peter Sjölund - Släkt & DNA
Pingback: Episode 195 – RNA and DNA and MLAs | The Iron Fist and the Velvet Glove
Pingback: Genes and genealogy and making the most of famous relations – The Daily Angle
Pingback: Human Phylogeography: The lessons learned, 1 « Why Evolution Is True
Pingback: New Ethnicity Estimates from 23&Me: Getting Better, Maybe? – From Shepherds and Shoemakers
Pingback: Modeling the Inheritance of Ancestral DNA | DNA Science
How come you have Neanderthal DNA in your body,that can be traced during genetic analysis if you do not receive the genes of an individual starting from 11 generations up?